强连通分量
强连通分量
例题一
给定一个有向图,统计有多少点对u, v(u<v)满足: u可以到达v,且v可以到达u。
思考:如何解决?
暴力?复杂度不可想象…
强连通分量定义
在一个有向图中,选取一个点集S,如果对于S中的任意两点u, v都满足u可以到达v,则称S是强连通的。
如果一个强连通点集S中,不能再加入更多的点使得它仍然强连通,则称S是强连通分量。
##
需要的算法
求强连通分量的算法
Tarjan:\(O(n+m)\),细节较多。
Kosaraju:\(O(n+m)\),细节较少,可以继续优化。
Kosaraju算法
Kosaraju算法求强连通分量
在无向图中,求解连通分量只需要按照1到n的顺序依次考虑每个点。
考虑到i点时,如果i点未被访问过,就说明找到了一个新的连通分量,从i点开始DFS即可找到i所在的连通分量。
所以——无向图的连通分量数等价于对整个图的遍历进行了几次(最外层的)DFS。
无向图DFS即可计算出,还可以并查集计算 在有向图中:

解决方法 转化问题,到DFS
Kosaraju算法的思想:
把图中所有边反向,再按照1到n的顺序去DFS(后续遍历),得到每个点的出栈序列q。
按照q[n]..q[1]的顺序去DFS原图就是一个合法的顺序。
第一遍DFS,产生队列(后序遍历)即结束DFS后输出其值,再回溯 序列p一定可行 生成BA可行

简化处理
Kosaraju算法求强连通分量
因为把边反向与否不改变强连通分量,所以得到一个简化的Kosaraju算法:
- 按照1到n的顺序去DFS后续遍历原图,得到每个点的出栈序列q。
- 按照q[n]..q[1]的顺序去DFS反图,依次得到每个强连通分量。
代码
Kosaraju算法求强连通分量
void dfs1(int x){ |
上文使用二维数组,0为正,1为反图,y类似于并查集根,v储存的就是to节点
vector代码
vector<int> edge1[100005], edge2[100005], p; |
时间复杂度
Kosaraju算法时间复杂度
一共要对正反图分别进行一轮DFS。
每轮DFS经过\(O(n)\)个点,\(O(m)\)条边。
总时间复杂度\(O(n+m)\)。
例题1解
- 给定一个有向图,统计有多少点对u,v(u<v)满足u可以到达v,且v可以到达u。
- u和v互相可达当且仅当它们属于同一强连通分量。
- 求出强连通分量,假设某个强连通分量有k个点,那么对答案的贡献为\(C(k,2)\)。
- 思考:如何统计强连通分量中元素的个数?
- 时间复杂度\(O(n+m)\)。
统计数量:需要使用y标记时cnt++;
例题二:
- 给定一个有向图,每个点i有点权v[i],请对于每个点i找到i能到达的点中点权的最大值。
- \(dp[i]=\max(v[i], dp[j])\),i->j有边。
- 有环怎么办?没法确定DP的顺序。
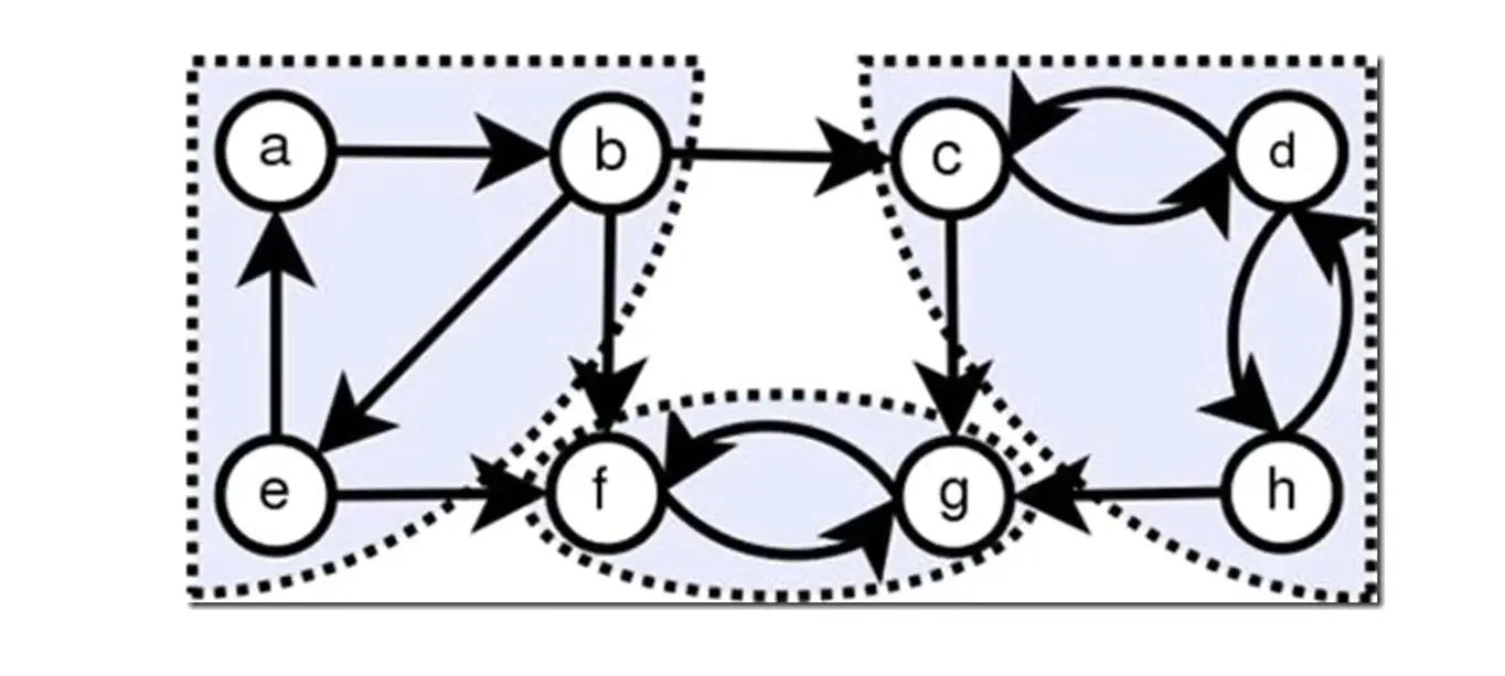
解决:缩点
- 将强连通分量缩成一个点后的图是个DAG。
- 将每个强连通分量的点权设为内部点权的最大值,然后在DAG上按拓扑序递推或者记忆化搜索即可。
- 时间复杂度\(O(n+m)\)。
f[x]就是一个分量
- 具体怎么实现缩点?
- 设\(f[x]\)表示\(x\)属于哪个强连通分量。
- 对于原图中的边\(x \to y\),在新图中添加\(f[x] \to f[y]\)的边。
- 注意特判\(f[x] == f[y]\)的情况,需要过滤掉自环。 \(\boldsymbol{DAG}\)
void build3() { //创建缩点之后的图 |
生成一个DAG图